鋰電池、電芯等產品,在使用真空烤箱烘烤的過程中,水分幾乎也是通過電芯上端蒸發去除,但電芯內部的溫度與水分變化過程并不可見。不過,我們可以通過理論分析這一變化過程,下面由“環儀儀器”小編為大家講解。
電池在真空烤箱的試驗變化過程:
試驗使用設備:環儀儀器 電池真空烤箱
試驗產品:鋰電池電芯
.jpg)
理論分析:
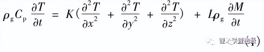
1.在烘烤過程中,熱源在烘烤箱上端,電芯與烤箱上下夾板之間留有一定間隙,用于保證電芯擁有合適的烘烤溫度,也利于蒸發的水分通過間隙擴散出烤箱以外。電芯在烘烤時的溫度變化可通過傅里葉熱傳導定律計算:

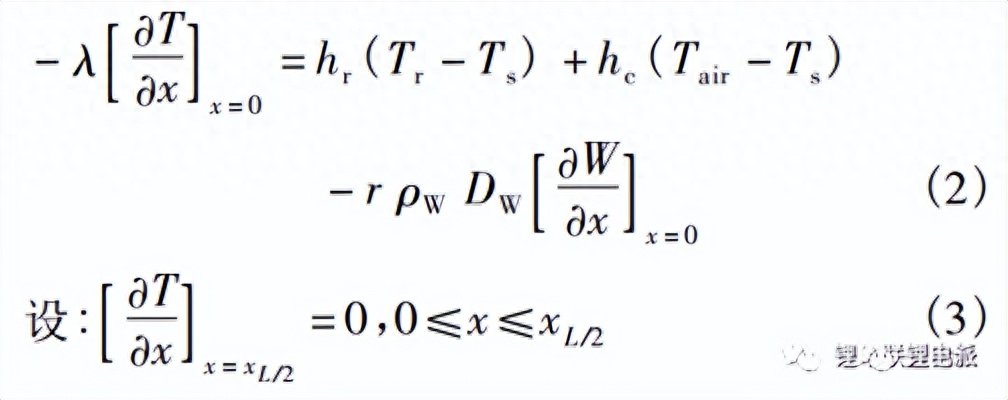
2.式中,ρg為電芯內部正負極片平均密度; Cp為電芯比熱容; T為電芯溫度; K為電芯熱傳導熱效率; x、y、z為空間坐標函數; L為電芯內部的水分氣化潛熱; M為電芯內部水分含量。電芯的邊界條件設定為:

3.式中,Tr、Ts、Tair分別為烘烤箱內熱源設定溫度、電芯表面溫度、烘烤箱內部環境溫度; DW為電芯內部水分擴散系數;ρW為液態水密度。
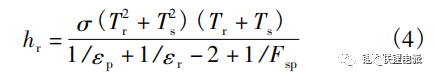
熱傳導系數分為2部分,hr為熱輻射源熱傳導系數,hc為烤箱內對流熱傳導系數,其中

4.式中,Tr、Ts、Tair分別為烘烤箱內熱源設定溫度、電芯表面溫度、烘烤箱內部環境溫度; DW為電芯內部水分擴散系數;ρW為液態水密度。
熱傳導系數分為2部分,hr為熱輻射源熱傳導系數,hc為烤箱內對流熱傳導系數,其中

5.式中Lsp為烤箱內熱源與電芯表面之間的距離; asp與bsp為電芯長度與寬度,其中各系數由上列結果帶定。
為便于分析說明電芯不同位置溫度與水分變化,將電芯分為表面、中間與底部三個部分,電芯表面部分離熱源最近。計算可得到不同時刻電芯三個部分的溫度變化,如圖2所示。

通過上面的分析可以發現,在烘烤開始時,電芯各個部位測量均為慢慢升高的趨勢,表面溫度升高最快,底部升高最慢,烘烤近95 min左右后,電芯各個部位逐漸達到最高溫度,與烤箱內部溫度達到一致。








